Unleashing the Power of Derivatives: Examples of Limit Definition to Master this Fundamental Calculus Concept.
If you are one of those students who finds derivatives to be a daunting challenge, don't worry, you're not alone. The concept of derivatives is fundamental to calculus, and it's essential to master it if you want to excel in mathematical fields. The good news is that by understanding the limit definition and practicing with examples, you can unleash the power of derivatives and make sense of this complex topic.
The limit definition is the backbone of calculus, and it's crucial to understand it when learning derivatives. This definition states that as the input of a function approaches a certain value, the output of the function approaches a particular limit. Given this definition, we can then use it to determine the slope of a curve at a specific point. By calculating the derivative using the limit definition, we can find the instantaneous rate of change at a particular moment. This fact may seem abstract, but it has practical applications in various fields, such as physics, engineering, finance, and more.
To master the limit definition and unleash the power of derivatives, you need to practice with various examples. By working through different problems, you'll start to see patterns and develop an intuition for the concept. You will become familiar with the notation, learn how to differentiate different types of functions, and understand the properties of derivatives. Moreover, by practicing with real-life applications, you'll not only learn how to solve problems but also see how derivatives are used in everyday scenarios.
In conclusion, mastering derivatives is no easy feat, but it's a fundamental skill that's worth the effort. By understanding the limit definition and practicing with examples, you can unlock the power of derivatives and gain a deeper understanding of calculus. So, don't give up, keep practicing, and be on your way to becoming a calculus master!
"Limit Definition Of Derivative Examples" ~ bbaz
Unleashing the Power of Derivatives: Examples of Limit Definition to Master this Fundamental Calculus Concept
The Importance of Derivatives in Calculus
Calculus is all about understanding how things change. The study of derivatives is essential to understanding this change, which can be seen in a wide range of applications in physics, engineering, economics, and more. By mastering the concept of derivatives, students can become proficient in solving complex problems involving rates of change, optimization, and more.
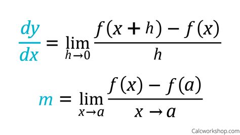
The Limit Definition of Derivatives
The limit definition of derivatives is a fundamental concept in calculus that allows us to calculate the slope of steep curves and non-linear functions. It involves taking the limit of a function as the change in x approaches zero, and can be expressed in the following formula:

This formula allows us to find the instantaneous rate of change of a function at a given point. It is a powerful tool for solving complex problems and provides a foundation for further study in calculus.
Examples of Using the Limit Definition to Find Derivatives
Let's take a look at some examples of how the limit definition can be used to find derivatives:
| Function | Derivative |
|---|---|
| f(x) = x^2 | f'(x) = lim(h→0) (f(x+h) - f(x))/h = 2x |
| f(x) = sin(x) | f'(x) = lim(h→0) (f(x+h) - f(x))/h = cos(x) |
| f(x) = e^x | f'(x) = lim(h→0) (f(x+h) - f(x))/h = e^x |
The Benefits of Mastering Derivatives
Mastering the concept of derivatives has a number of benefits, including:
- Improved problem-solving skills
- Increased understanding of how things change over time
- The ability to calculate rates of change and optimization
- A foundation for further study in calculus and mathematics
Challenges in Learning Derivatives
However, learning derivatives can also be challenging. Some common challenges include:
- Dry and abstract concepts
- Difficulty in visualizing complex functions
- Misconceptions about what derivatives represent
Tips for Learning Derivatives
Here are some tips for mastering the concept of derivatives:
- Work through practice problems and examples
- Visualize functions and their derivatives
- Understand the physical meaning of derivatives
- Seek help when needed and stay motivated
Conclusion
The study of derivatives is essential to understanding how things change over time. The limit definition of derivatives is a fundamental concept that allows us to find instantaneous rates of change and solve a wide range of problems. By mastering this concept, students can improve their problem-solving skills, gain a deeper understanding of calculus, and lay a foundation for further study in mathematics.
Thank you for reading our blog post on Unleashing the Power of Derivatives: Examples of Limit Definition to Master this Fundamental Calculus Concept. We hope that this article has provided you with a clear and concise understanding of the limit definition and how it applies to derivative calculus.
As you continue your calculus journey, it is important to note that mastering the concept of derivatives requires practice and patience. Familiarizing yourself with different examples and applications of limit definition can boost your confidence and help you succeed in this challenging subject.
Don't be afraid to ask questions, seek out additional resources, and collaborate with classmates or tutors. With determination and perseverance, you can unleash the power of derivatives and take your calculus knowledge to new heights. Best of luck!
Here are some commonly asked questions about Unleashing the Power of Derivatives: Examples of Limit Definition to Master this Fundamental Calculus Concept:
- What are derivatives?
- Why is understanding the limit definition important?
- Can you provide an example of using the limit definition to find a derivative?
- How can I master the concept of derivatives?
- What are some common applications of derivatives?
Derivatives are mathematical tools that allow us to measure how much a function changes at a specific point. They are used in calculus to solve problems related to rates of change and optimization.
The limit definition is the foundation of calculus and is used to derive all other derivative rules. Understanding the limit definition helps you grasp the concept of derivatives more deeply and apply them effectively in problem-solving.
Sure! Let's say we have the function f(x) = x^2. To find the derivative of f(x) at x = 2 using the limit definition, we would take the limit as h approaches 0 of [(2 + h)^2 - 2^2] / h. Simplifying this expression gives us (4h + h^2) / h, which reduces to 4 + h. Taking the limit as h approaches 0 gives us the derivative of f(x) at x = 2, which is 4.
Practice, practice, practice! Work through lots of problems using various derivative rules and the limit definition. Seek out resources such as textbooks, online tutorials, and study groups to deepen your understanding. Try to apply derivatives to real-world scenarios to make the concept more tangible.
Derivatives are used in a variety of fields, including physics, engineering, economics, and finance. Some common applications include finding rates of change in motion and growth, optimizing functions to find maximum or minimum values, and calculating marginal revenue and cost in business.
Post a Comment for "Unleashing the Power of Derivatives: Examples of Limit Definition to Master this Fundamental Calculus Concept."